Fák
- Fának nevezünk egy összefüggő körmentes gráfot.
- Gyökeres fának nevezünk egy olyan fát, amiben kijelöltünk egy csomópontot (gyökeret)
- Erdőnek nevezünk több fát, azaz egy körmentes gráf (ennek minden összefüggő komponense fa)
- Egy gráf olyan részgráfját, ami fa, részfának nevezzük (spanning tree)
Tulajdonságok
- Egy n pontból álló fának n-1 éle van. (Biz. indukcióval, minden újan bevitt ponthoz pontosan egy élet húzhatunk.)
- Ha egy fából bármelyik élet kitöröljük, akkor már nem lesz összefüggő.
Példa
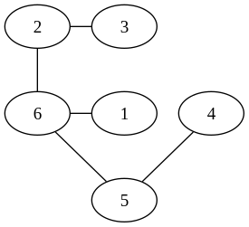
Az alábbi gráf egy fa:

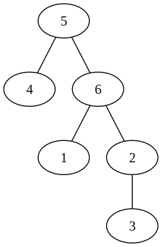
Ha megválsztjuk benne az 5-ös csomópontot gyökérnek, akkor az alábbi gyökeres fát kapjuk (egy hierarchia jön létre a csomópontok között):

Gyökeres fákkal kapcsolatos fogalmak
- “gyökér” (rădăcină) – a kiinduló pont, ennél fogva “függesztjük fel” a fát, minek során létrejön egy hierarchia
- “szülő” (tată) – az a pont, ami a gyökér felé vezető úton közvetlenül az aktuális után van (tehát felette); a gyökérnek nincs szülője
- „gyerek” (fiu), „közvetlen leszármazott” (descendent direct) – közvetlenül az aktuális pont alatt levő pont
- „leszármazott” (descendent) – az pont alatt levő pont (gyerekek, gyerekek gyerekei stb.)
- „ős” (ascendent) – a gyökér felé vezető úton az egyik pont (szülő, szülő szülője stb.)
- „levél” (frunză) – olyan pont, aminek nincs leszármazottja
- „testvér” (frate) – olyan pont, aminek ugyanaz a szülője, mint az aktuálisnak
- „szint” (nivel) – az adott pont távolsága a gyökértől
- a fa „mélysége” (adâncime) – a legnagyobb távolság a gyökértől
- „átmérő” (diagonală) – a legnagyobb távolság két pont között
A fentebbi példában:
- a gyökér az 5-ös csomópont;
- a 6-osnak a szülője az 5, a 2-esnek pedig a 6;
- a 6-os csomópont gyerekei az 1 és 2;
- a 6-os csomópont leszármazottai az 1, 2 és 3;
- a 2-es ősei: 6 és 5;
- a fa levelei: 4, 1, 3;
- a 4 és 6 csomópontok testvérek;
- az 5-ös pont a 0-s szinten, a 4 és 6 az 1-es szinten, az 1 és 2 a 2-es szinten található
- a fa mélysége 3
- a fa átmérője 4 (leghosszabb út: 3 2 6 5 4)
Gyakorlat
Hány élet kell törölni egy n pontú teljes gráfból ahhoz, hogy fa legyen?
Válasz: komb(n,2) – (n-1) (mennyi volt - mennyi kell maradjon)
Gyökeres fák ábrázolása memóriában
- Ábrázolható, mint gráf (az ismert módszerekkel) + megjegyezzük, hogy ki a gyökér.
- Leszármazott-listák (Reprezentarea prin referințe descendente): minden csomópontra tároljuk, hogy kik a közvetlen leszármazottai (példa lejjebb), illetve tároljuk, hogy melyik pont a gyökér.
- Apák tömbje / ősvektor (vector de tați): minden pontra lementjük, hogy ki az ő szülője (a gyökér esetén valamilyen speciális értéket használunk, pl. 0-t); lesz tehát egy annyi elemű tömbünk, ahány csomópontja van a fának (példa lejjebb).
Példa:

A fa gyökere az 1-es csomópont. Leszármazott-listákkal történő ábrázolás:
1: 2 3
2: üres
3: 4 5
4: 6
5: üres
6: üres
Az apák tömbje:
{ 0, 1, 1, 3, 3, 4 }
A tömb i. eleme jelzi, hogy ki i pont szülője.
Részfák
- Egy gráf „részfájának” nevezünk egy olyan részgráfot, ami fa.
- Gyökeres fák esetén egy pont részfája az az algráfja a fának, amiben megtartjuk csak ezt a pontot és a leszármazottait (az előző példában a 3-as pont részfája az a fa, ami a 3, 4, 5, 6 csomópontokat tartalmazza).