Az irányítatlan gráfok esetén az él két végpontjának sorrendje nem releváns. Az él nem egyikből a másikba megy, hanem csak egy összeköttetés a kettő között. Ha az élekhez irányításokat is rendelünk, irányított gráfot kapunk.
Irányított gráfok
Románul: graf orientat, angolul: directed graph (vagy röviden: digraph)
Cikk pbinfo-n: https://www.pbinfo.ro/articole/509/grafuri-orientate
Értelmezés
A G = (X, U) halmazpárt irányított gráfnak nevezzük, ahol:
- X – a csúcsok / csomópontok halmaza (a csúcs románul vârf, angolul vertex; csomópont románul nod, angolul node)
- U – az élek / ívek (románul arce, angolul arcs) halmaza, melynek elemei az X elemeiből alkotott (rendezett) számpárok
Általában a csomópontokat 1-től n-ig terjedő egész számokkal címkézzük, ahol n = |X|, az éleket pedig (x,y) jelöléssel írjuk le, ahol x és y csomópontok.
Egyszerű gráf: két csomópont között legfeljebb két él lehet, egy oda, egy vissza, és nincsenek hurokélek – bucle (azaz egy csomópontból önmagába menő élek).
További fogalmak:
- a.m.h. („azt mondjuk, hogy”) az x és y csúcsok szomszédosak, ha létezik az (x,y) él, vagy az (y,x) él, vagy mindkettő.
- az (x,y) élnek x a „kezdőpontja” (kiindulópontja), y a „végpontja”.
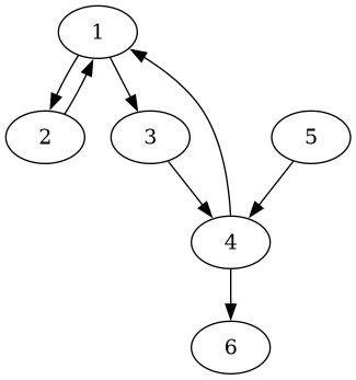
Példa
G = (X,U)
X = {1, 2, 3, 4, 5, 6}
U = {(1,2) (2,1), (1,3), (3,4), (4, 1), (4, 6), (5,4) }

Fokszámok
Értelmezés: Egy csomópont bejövő fokszáma (röviden „befoka”) azon élek számát jelenti, amelyek ide érkeznek (tehát ez a csomópont a végpontjuk). Románul grad interior, angolul in-degree.
Értelmezés: Egy csomópont kimenő fokszáma (röviden „kifoka”) azon élek számát jelenti, amelyek innen indulnak (tehát ez a csomópont a kezdőpontjuk). Románul grad exterior, angolul out-degree.
Megjegyzések: - egy csomópont be- és kifoka egy 0 és |X|-1 közötti egész; - egy 0 fokszámú csomópontra a.m.h. „izolált”.
Tétel
Egy irányítatlan gráfban a bejövő fokszámok összege egyenlő az élek számával. A kimenő fokszámok összege szintén egyenlő az élek számával.
Irányított gráfok ábrázolása (memóriában)

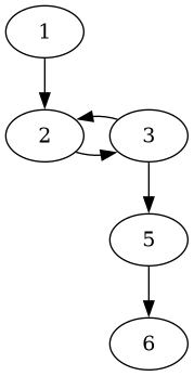
1. Éllistával (listă de arce / muchii)
Kell a csomópontok száma + az élek listája:
X = {1, 2, 3, 4, 5, 6}
U = { (1,2), (2,3), (3,2), (3,5) (5,6) }
2. Szomszédsági mátrix-szal (matrice de adiacență)
Ha n csomópont van a gráfban, akkor a szomszédsági mátrix n x n-es és az i. sor j. oszlopában levő elem megmondja, hogy i-ből j-be van-e ív (irányított él): 1-ha igen, 0 ha nem.
0 1 0 0 0 0 (sorindex – kiinduló pont)
0 0 1 0 0 0 (oszlopindex – végpont)
0 1 0 0 1 0
0 0 0 0 0 0
0 0 0 0 0 1
0 0 0 0 0 0
Irányított gráfok esetén a szomszédsági mátrix nem feltétlenül szimmetrikus a főátlóra nézve.
3. Szomszédsági listákkal (liste de adiacență)
Minden csomópont esetén eltároljuk, hogy hova indul innen él (hol van a végpontja azoknak az éleknek, amiknek az aktuális pont a kezdőpontja).
1: 2
2: 3
3: 2, 5
4: üres
5: 6
6: üres
7: üres
Sajátos gráfok:
- teljes gráf: bármely két pont között van benne él legalább az egyik irányban (más helyeken: akkor teljes ha minkét irányban van él a pontok között);
- turnégráf (graf turneu): bármely két pont között van él pontosan egy irányban.
Séta, vonal, út
- séta (drum): pontok sorozata, két-két pont között él van (fontos az irányítása is)
- lánc (lanț): pontok sorozata, ahol két-két egymás melletti pont szomszédos, de az élek irányítását nem figyeljük
- vonal (drum simplu): séta, amin nem ismétlődnek élek
- út (drum elementar): séta, amin nem ismétlődnek pontok
- zárt vonal – circuit
- kör (zárt út) – circuit elementar
Egy út hossza egyenlő az őt alkotó élek számával.
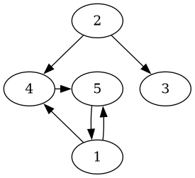
Példa:

- séta: 2 4 5 1 4 5
- lánc, de nem séta: 5 4 1
- vonal: 2 4 5 1 4
- út: 2 4 5 1
- kör: 4 5 1 4
Összefüggőség
- erősen összefüggő komponens (tare conex): tetszőleges A,B pontjaira van út A-ból B-be és B-ből A-ba is.
- gyengén összefüggő komponens: ha elhagynánk az irányításokat, akkor a megfelelő nemirányított gráfban összefüggőek lennének.
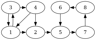
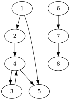
Példa:

Erősen összefüggő komponensei: {1,3,4}, {2}, {5,6,7,8}.
Az egész gráf gyengén öszefüggő.
Hamiltoni és euleri gráf:
- egy irányított gráf hamiltoni, ha van olyan (irányított) köre, amely minden pontot pontosan egyszer tartalmaz;
- egy irányított gráf euleri, ha van olyan zárt vonala (irányított), amely minden élet pontosan egyszer érint;
- tétel: egy izolált pontokat nem tartalmazó irányított gráf euleri, ha erősen összefüggő és minden pont kimenő fokszáma egyenlő a bejövő fokszámával.
Gyakorlatok
1.
Hány n-pontú irányított gráf létezik (a pontjai {1,2, … n})?
Megoldás:
2^variációk(n,2)
2.
Rajzoljuk le azt az irányított gráfot, melynek szomszédsági mátrixa:

0 1 0 1 0 1
1 0 0 0 0 0
0 0 0 1 0 0
1 0 0 0 0 1
1 0 0 0 0 0
1 0 0 1 1 0
Írjuk le a szomszédsági listákat!
1: 2, 4, 6
2: 1
3: 4
4: 1, 6
5: 1
6: 1, 4, 5
3.
Írjuk le a szomszédsági mátrixát annak a 8 pontú irányított gráfnak, melynek élei:

(1,2), (2,4), (4,3), (3,4), (4,5), (1,5), (7,8), (6,7)
Megoldás:
1. 2. 3. 4. 5. 6. 7. 8
1. 0 1 0 0 1 0 0 0
2. 0 0 0 1 0 0 0 0
3. 0 0 0 1 0 0 0 0
4. 0 0 1 0 1 0 0 0
5. 0 0 0 0 0 0 0 0
6. 0 0 0 0 0 0 1 0
7. 0 0 0 0 0 0 0 1
8. 0 0 0 0 0 0 0 0